Figure 4
From: The effect of amino acid deletions and substitutions in the longest loop of GFP

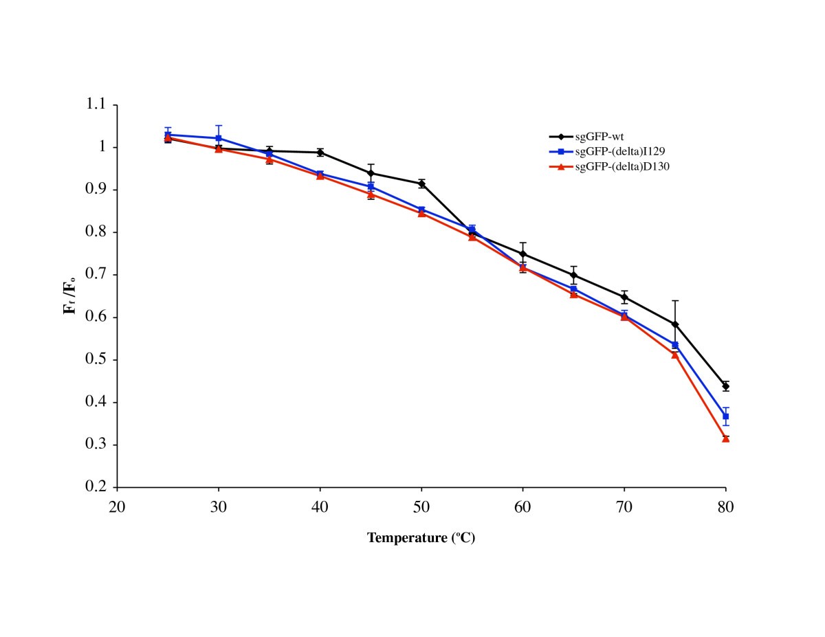
"Temperature denaturation curves of the purified proteins sgGFP wt, sgGFP-ΔI129 and sgGFP-ΔD130. Triplicated aliquots of each sample were subjected to different temperatures (25°C, 30°C, 35°C, 40°C, 45°C, 50°C, 55°C, 60°C, 65°C, 70°C, 75°C and 80°C) during 5 minutes and the initial (Fo) and final fluorescence (Ff) was measured. The ratio Ff/Fo versus temperature was plotted."